 |
 |
 |
 |
 |
 |
 |
 |
 |
 |
 |
 |
 |
 |
 |
 |
 |
 |
 |
 |
 |
 |
 |
 |
 |
 |
 |
 |
|
|
|
|
|
|
|
|
|
|
|
|
|
|
|
|
|
|
|
|
|
|
|
|
|
|
|
|
|
|
|
|
|
Automated Olive Oil Iodine Value Determination by Flow Injection
|
|
|
|
|
 |
|
|
|
|
|
|
|
 |
|
|
|
|
 |
|
|
|
|
|
|
|
|
Olive oil samples are injected in a 6 x 10-3 M IBr in glacial acetic acid stream (Hanus reagent). Samples disperse in the reagent and are stored in the incubation coils. After loading all 10 incubation coils, the pump reverses the flow direction to aspirate samples to the spectrophotometer. After measurement, the pump drives the samples to waste. In this way, an analysis rate of 60 samples per hour is achieved while samples are incubated for 10 min. The IBr absorbance is continuously monitored. Injected samples consume IBr resulting in two negative absorbance peaks for each sample, corresponding to the first and second pass through the spectrophotometer. Results obtained by the proposed method compare well with those obtained by the official method (0.1-5.1 % relative difference for the analysis of 26 olive oil samples). Click to see the advantages of the method.
|
|
|
|
|
|
|
|
|
|
 |
|
|
|
 |
|
|
|
|
|
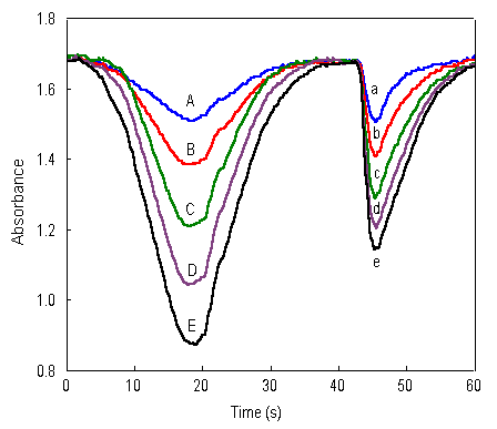
Peaks acquired during iodine value determination
Standards of (A and a) 23, (B and b) 44.5, (C and c) 67.5, (D and d) 89.5 and (E and e) 111.5 iodine value (g I2/100 g oil). Peaks (A-E) and (a-e) are recorded during the first and the second pass through the detector, respectively.
|
|
|
|
|
|
|
|
|
|
|
|
|
|
|
 |
|
|
|
|
|
 |
|
 |
|
 |
|
 |
|
 |
|
|
|
|
|
|
Questions and comments to author: Dr C.A. Georgiou, cag@aua.gr Phone: +3010-5294248, fax: +3010-5294265 Chemistry Laboratory, Agricultural University of Athens, Greece
|
|
|
|