ΚΕΦΑΛΑΙΟ 1ο

Παράδειγμα ροής Νευτώνειων και Μη Νευτώνιων ρευστών μεταξύ μιας ακίνητης και μιας κινούμενης πλάκας

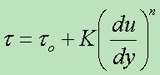
εφαρμόζοντας τη παραπάνω σχέση, για διάφορες τιμές του ρυθμού διάτμησης (du/dy)

Πίσω στην αρχή του κεφαλαίου
Προηγούμενη σελίδα
Επόμενη σελίδα